离心泵的特性曲线是将由实验测定的Q、H、N、η等数据标绘而成的一组曲线。此图由泵的制造厂家提供,供使用部门选泵和操作时参考。
不同型号泵的特性曲线不同,但均有以下三条曲线:
(1)H-Q线表示压头和流量的关系;
(2)N-Q线表示泵轴功率和流量的关系;
(3)η-Q线表示泵的效率和流量的关系;
(4)泵的特性曲线均在一定转速下测定,故特性曲线图上注出转速n值。
离心泵特性曲线上的效率最高点称为设计点,泵在该点对应的压头和流量下工作最为经济。离心泵铭牌上标出的性能参数即为最高效率点上的工况参数。
离心泵的性能曲线可作为选择泵的依据。确定泵的类型后,再依流量和压头选泵。
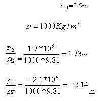
例2-2用清水测定一台离心泵的主要性能参数。实验中测得流量为10m3/h,泵出口处压力表的读数为0.17MPa(表压),入口处真空表的读数为-0.021Mpa,轴功率为1.07KW,电动机的转速为2900r/min,真空表测压点与压力表测压点的垂直距离为0.2m。试计算此在实验点下的扬程和效率。
解泵的主要性能参数包括转速n、流量Q、扬程H、轴功率N和效率。直接测出的参数为
转速n=2900r/min
流量Q=10m3/h=0.00278m3/s
轴功率N=1.07KW
需要进行计算的有扬程H和效率。
用式
计算扬程H,即
已知:
于是
二、影响离心泵性能的主要因素
1液体物理性质对特性曲线的影响
生产厂所提供的特性曲线是以清水作为工作介质测定的,当输送其它液体时,要考虑液体密度和粘度的影响。
(1)粘度当输送液体的粘度大于实验条件下水的粘度时,泵体内的能量损失增大,泵的流量、压头减小,效率下降,轴功率增大。
(2)密度离心泵的体积流量及压头与液体密度无关,功率则随密度增大而增加。
2离心泵的转速对特性曲线的影响
当液体粘度不大,泵的效率不变时,泵的流量、压头、轴功率与转速可近似用比例定律计算,即
式中:Q1、H1、N1离心泵转速为n1时的流量、扬程和功率。
Q2、H2、N2离心泵转速为n2时的流量、扬程和功率。
上面的一组公式称为比例定律。当转速变化小于20%时,可认为效率不变,用上工进行计算误差不大。
若在转速为n1的特性曲线上多选几个点,利用比例定律算出转速为n2时相应的数据,并将结果标绘在坐标纸上,就可以得到转速为n2时的特性曲线。
3叶轮直径对特性曲线的影响
当泵的转速一定时,其扬程、流量与叶轮直径有关。下面为切割定律。
式中:Q1、H1、N1离心泵转速为在D1时的流量、扬程和功率。
Q2、H2、N2离心泵转速为D2时的流量、扬程和功率。





